Naufal A

01 Agustus 2024 02:00
Iklan
Naufal A

01 Agustus 2024 02:00
Pertanyaan
Mohon bantuannya

1
1
Iklan
BimBim B
01 Agustus 2024 03:49
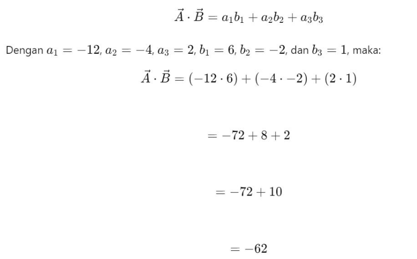
Penjelasan
terlampir

· 5.0 (1)
Naufal A

03 Agustus 2024 14:39
Terimakasih banyak
Iklan
Tanya ke AiRIS
Yuk, cobain chat dan belajar bareng AiRIS, teman pintarmu!

LATIHAN SOAL GRATIS!
Drill Soal
Latihan soal sesuai topik yang kamu mau untuk persiapan ujian


Perdalam pemahamanmu bersama Master Teacher
di sesi Live Teaching, GRATIS!