Fidella A
23 September 2025 13:02
Iklan
Fidella A
23 September 2025 13:02
Pertanyaan
ini gimana caranya

66
2
Iklan
Syifa F
23 September 2025 13:38
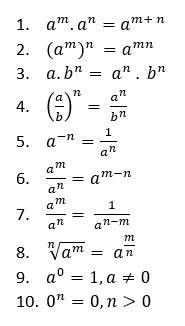
Haloo kaa, izin menjawab yaa
Pakai sifat eksponen :
Semoga Membantu!


· 0.0 (0)
Iklan
Yulfa S
23 September 2025 13:45
(3^2)^-3 . (3^-3)^(-3) =...
Sesuai dengan sifat bilangan (a^n)^m=a^n.m. Maka
3^(-6). 3^9 = 3^(-6)+9 (menggunakan sifat a^n. a^m = a^n+m) = 3^3 = 27
· 0.0 (0)
Fahmida F
24 September 2025 11:08
27 kak
Tanya ke AiRIS
Yuk, cobain chat dan belajar bareng AiRIS, teman pintarmu!

LATIHAN SOAL GRATIS!
Drill Soal
Latihan soal sesuai topik yang kamu mau untuk persiapan ujian


Perdalam pemahamanmu bersama Master Teacher
di sesi Live Teaching, GRATIS!