Blackie B

13 Mei 2025 22:43
Iklan
Blackie B

13 Mei 2025 22:43
Pertanyaan
5
1
Iklan
J. Siregar
14 Mei 2025 12:24
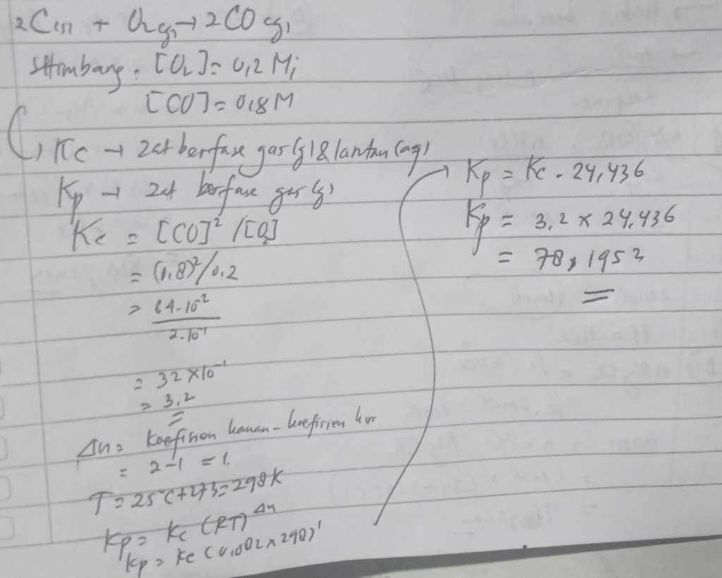
Jawabannya sesuai pembahasan terlampir.

· 0.0 (0)
Iklan
Tanya ke AiRIS
Yuk, cobain chat dan belajar bareng AiRIS, teman pintarmu!

LATIHAN SOAL GRATIS!
Drill Soal
Latihan soal sesuai topik yang kamu mau untuk persiapan ujian


Perdalam pemahamanmu bersama Master Teacher
di sesi Live Teaching, GRATIS!