Abida Q
Ditanya 5 hari yang lalu
Iklan
Abida Q
Ditanya 5 hari yang lalu
Pertanyaan
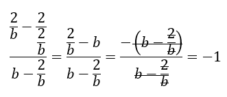
Caranya gimana

8
2
Iklan
Muhammad R
Dijawab 2 hari yang lalu
Semoga Membantu,, cmiiw

· 0.0 (0)
Iklan
Nur F
Dijawab sehari yang lalu
semoga membantu.

· 0.0 (0)
Tanya ke AiRIS
Yuk, cobain chat dan belajar bareng AiRIS, teman pintarmu!

LATIHAN SOAL GRATIS!
Drill Soal
Latihan soal sesuai topik yang kamu mau untuk persiapan ujian


Perdalam pemahamanmu bersama Master Teacher
di sesi Live Teaching, GRATIS!