LinLin L
22 Oktober 2024 12:23
Iklan
LinLin L
22 Oktober 2024 12:23
Pertanyaan
Boleh bantu jawab gak, ga ngerti
Makasihh

2
1
Iklan
Verena A
23 Oktober 2024 07:07
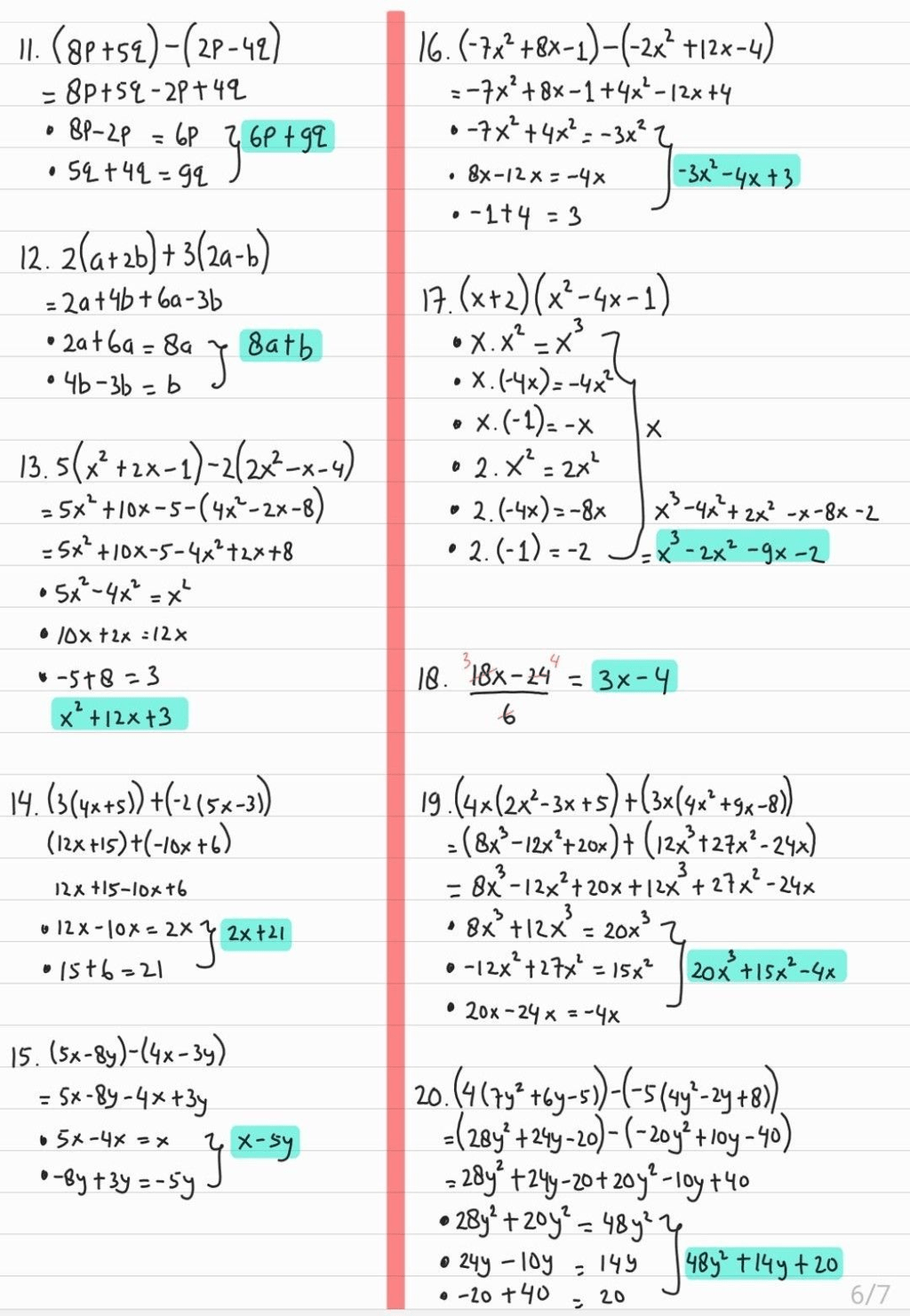
kakak bantu jawab ya
Cara dan pembahasannya ada di foto ya ^○^


· 5.0 (1)
Verena A
23 Oktober 2024 07:08
Yang di stabilo biru adalah hasil akhirnya
Iklan
Tanya ke AiRIS
Yuk, cobain chat dan belajar bareng AiRIS, teman pintarmu!

LATIHAN SOAL GRATIS!
Drill Soal
Latihan soal sesuai topik yang kamu mau untuk persiapan ujian


Perdalam pemahamanmu bersama Master Teacher
di sesi Live Teaching, GRATIS!