Cahyo C

10 Maret 2025 06:22
Iklan
Cahyo C

10 Maret 2025 06:22
Pertanyaan
Bantu Jawab π

3
1
Iklan
J. Siregar
10 Maret 2025 12:42
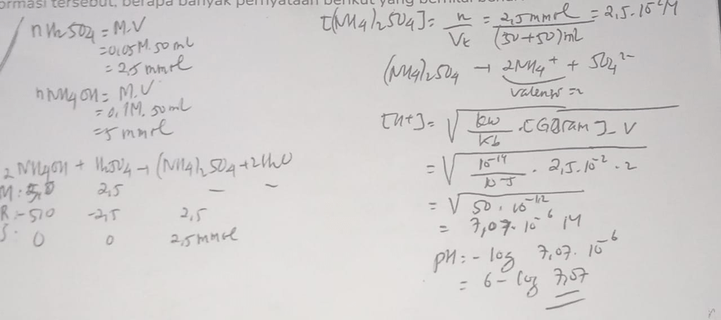
Jawaban yang benar adalah pH = 6-log 2,23.

Β· 0.0 (0)
Iklan
Tanya ke AiRIS
Yuk, cobain chat dan belajar bareng AiRIS, teman pintarmu!

LATIHAN SOAL GRATIS!
Drill Soal
Latihan soal sesuai topik yang kamu mau untuk persiapan ujian


Perdalam pemahamanmu bersama Master Teacher
di sesi Live Teaching, GRATIS!