Eva F
23 November 2025 04:28
Iklan
Eva F
23 November 2025 04:28
Pertanyaan
13. Diketahui suku ketiga dan suku ketujuh suatu barisan aritmetika berturut-turut adalah 14 dan 26. Jumlah 20 suku pertama deret aritmetika tersebut adalah ....
12
2
Iklan
Shanaya T
23 November 2025 09:41
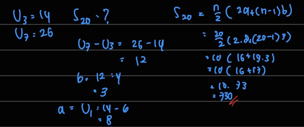
Step 1: menentukan beda (b) dan suku
Un = a + (n - 1) * b
U3 = a + 2b = 14
U7 = a + 6b = 26
Step 2 cari b
(a + 6b) - (a + 2b )= 26 - 14
4b = 12
b = 3
Step 3 subtitusi ke persamaan pertama
a + 2 *(3) = 14
a + 6 = 14
s = 8
Step 4 jumlah 20 suku (S20)
Sn = n / 2 * (2a + (n - 1) * b)
S20 = 20/2 * (2 * (8) + (20 - 1) * 3)
S20 = 10 * (16 + 19) * (3)
S20 = 10 * (16 + 57)
S20 = 10 * (73)
S20 = 730
Jumlah 20 suku pertama deret aritmatika adalah 730
· 5.0 (1)
Iklan
Muhammad F
23 November 2025 10:16
Semoga membantu ya

· 0.0 (0)
Tanya ke AiRIS
Yuk, cobain chat dan belajar bareng AiRIS, teman pintarmu!

LATIHAN SOAL GRATIS!
Drill Soal
Latihan soal sesuai topik yang kamu mau untuk persiapan ujian


Perdalam pemahamanmu bersama Master Teacher
di sesi Live Teaching, GRATIS!