Aulia A
17 Juli 2024 01:48
Iklan
Aulia A
17 Juli 2024 01:48
Pertanyaan
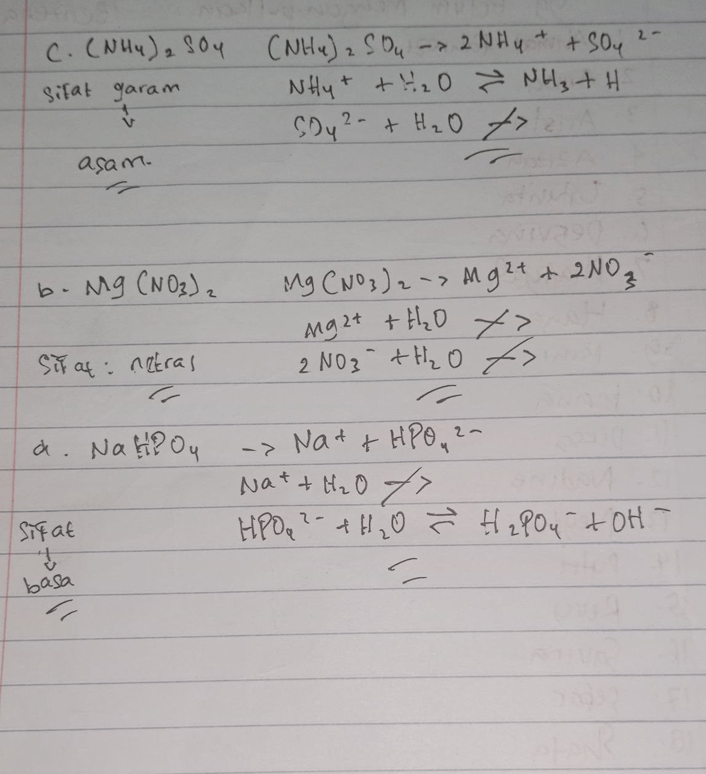
(NH4) ²SO4

15
1
Iklan
Nailah P
20 Juli 2024 09:13
A. sifat garam: basa
B. sifat garam: netral
C. sifat garam: asam
reaksi hidrolisis digambar

· 5.0 (1)
Iklan
Tanya ke AiRIS
Yuk, cobain chat dan belajar bareng AiRIS, teman pintarmu!

LATIHAN SOAL GRATIS!
Drill Soal
Latihan soal sesuai topik yang kamu mau untuk persiapan ujian


Perdalam pemahamanmu bersama Master Teacher
di sesi Live Teaching, GRATIS!