Iklan

Pertanyaan

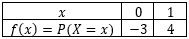
Terdapat sebuah koin tidak setimbang. Diketahui X adalah variabel acak yang menyatakan banyaknya gambar yang muncul dari pelemparan sebuah koin. Diberikan tabel distribusi probabilitas sebagai berikut: Nilai dari σ 2 adalah ....

Terdapat sebuah koin tidak setimbang. Diketahui X adalah variabel acak yang menyatakan banyaknya gambar yang muncul dari pelemparan sebuah koin. Diberikan tabel distribusi probabilitas sebagai berikut:

 

Nilai dari  adalah ....  

  1. begin mathsize 14px style 8 over 81 end style  

  2. begin mathsize 14px style 1 over 9 end style 

  3. begin mathsize 14px style 1 fourth end style 

  4. begin mathsize 14px style 5 over 16 end style 

  5. begin mathsize 14px style 3 over 16 end style  

Ikuti Tryout SNBT & Menangkan E-Wallet 100rb

Habis dalam

02

:

17

:

39

:

49

Klaim

Iklan

P. Anggrayni

Master Teacher

Jawaban terverifikasi

Jawaban

jawaban yang tepat adalah E.

jawaban yang tepat adalah E. 

Pembahasan

Ingat bahwa Saat t = -2 , maka didapat tabel probabilitas sebagai berikut Perhatikan bahwa tabel di atas tidak memenuhi syarat sehingga t = -3 tidak memenuhi. Saat ,maka didapat tabel probabilitas sebagai berikut sehingga dan Sehingga variansi dari variabel acak X yaitu Dengan demikian, jawaban yang tepat adalah E.

Ingat bahwa

begin mathsize 14px style table attributes columnalign right center left columnspacing 0px end attributes row cell sum with i equals 1 below and n on top P open parentheses X double bond x subscript i close parentheses end cell equals 1 row cell 3 over 2 t plus t squared end cell equals 1 row cell t squared plus 3 over 2 t minus sign 1 end cell equals 0 row cell 2 open parentheses t squared plus 3 over 2 t minus sign 1 close parentheses end cell equals 0 row cell 2 t squared plus 3 t minus sign 2 end cell equals 0 row cell open parentheses t plus 2 close parentheses open parentheses 2 t minus sign 1 close parentheses end cell equals 0 end table end style  

begin mathsize 14px style t equals minus sign 2 text  atau  end text t equals 1 half end style  

 

Saat = -2, maka didapat tabel probabilitas sebagai berikut

 

 

Perhatikan bahwa tabel di atas tidak memenuhi syarat begin mathsize 14px style 0 less or equal than P open parentheses X double bond x subscript i close parentheses less or equal than 1 end style sehingga = -3 tidak memenuhi.

Saat begin mathsize 14px style t equals 1 half end style, maka didapat tabel probabilitas sebagai berikut

 

 

sehingga

begin mathsize 14px style table attributes columnalign right center left columnspacing 0px end attributes row mu equals cell sum with i equals 1 below and n on top x subscript i f open parentheses x subscript i close parentheses end cell row blank equals cell 0 open parentheses 3 over 4 close parentheses plus 1 open parentheses 1 fourth close parentheses end cell row blank equals cell 0 plus 1 fourth end cell row blank equals cell 1 fourth end cell end table end style  

 

dan

begin mathsize 14px style table attributes columnalign right center left columnspacing 0px end attributes row cell E open parentheses X squared close parentheses end cell equals cell sum with i equals 1 below and n on top x subscript i superscript 2 f open parentheses x subscript i close parentheses end cell row blank equals cell 0 squared open parentheses 3 over 4 close parentheses plus 1 squared open parentheses 1 fourth close parentheses end cell row blank equals cell 0 open parentheses 3 over 4 close parentheses plus 1 open parentheses 1 fourth close parentheses end cell row blank equals cell 0 plus 1 fourth end cell row blank equals cell 1 fourth end cell end table end style  

 

Sehingga variansi dari variabel acak X yaitu

begin mathsize 14px style table attributes columnalign right center left columnspacing 0px end attributes row cell sigma squared end cell equals cell E open parentheses X squared close parentheses minus sign mu squared end cell row blank equals cell 1 fourth minus sign open parentheses 1 fourth close parentheses squared end cell row blank equals cell 1 fourth minus sign 1 over 16 end cell row blank equals cell 4 over 16 minus sign 1 over 16 end cell row blank equals cell 3 over 16 end cell end table end style  

Dengan demikian, jawaban yang tepat adalah E. 

Perdalam pemahamanmu bersama Master Teacher
di sesi Live Teaching, GRATIS!

1

Iklan

Pertanyaan serupa

Perhatikan tabel probabilitas berikut! Nilai dari σ 2 adalah ....

1

0.0

Jawaban terverifikasi

RUANGGURU HQ

Jl. Dr. Saharjo No.161, Manggarai Selatan, Tebet, Kota Jakarta Selatan, Daerah Khusus Ibukota Jakarta 12860

Coba GRATIS Aplikasi Roboguru

Coba GRATIS Aplikasi Ruangguru

Download di Google PlayDownload di AppstoreDownload di App Gallery

Produk Ruangguru

Hubungi Kami

Ruangguru WhatsApp

+62 815-7441-0000

Email info@ruangguru.com

[email protected]

Contact 02130930000

02130930000

Ikuti Kami

©2026 Ruangguru. All Rights Reserved PT. Ruang Raya Indonesia