Iklan

Pertanyaan

Terdapat lampu-lampu hias dengan warna berbeda-beda. Lampu berwarna ungu menyala setiap 8 detik sekali, lampu berwarna kuning menyala setiap 12 detik sekali, dan lampu berwarna biru menyala setiap 18 detik sekali. Jika saat ini lampu-lampu tersebut menyala bersama-sama, maka lampu-lampu tersebut paling cepat menyala bersama-sama lagi setelah ... detik

Terdapat lampu-lampu hias dengan warna berbeda-beda. Lampu berwarna ungu menyala setiap  detik sekali, lampu berwarna kuning menyala setiap  detik sekali, dan lampu berwarna biru menyala setiap  detik sekali. Jika saat ini lampu-lampu tersebut menyala bersama-sama, maka lampu-lampu tersebut paling cepat menyala bersama-sama lagi setelah ... detik

  1. 6

  2. 24

  3. 36

  4. 72

Ikuti Tryout SNBT & Menangkan E-Wallet 100rb

Habis dalam

02

:

16

:

27

:

59

Klaim

Iklan

N. Ulfah

Master Teacher

Jawaban terverifikasi

Jawaban

jawaban yang tepat adalah D.

jawaban yang tepat adalah D.

Pembahasan

Detiksaat lampu-lampu tersebut paling cepat menyala bersama-sama dapat dicari menggunakan KPK dari , , dan . Perhatikan pohon faktor berikut! Akibatnya, didapat bahwa faktorisasi prima sebagai berikut. Perhatikan bahwa terdapat dua bilangan prima yang menjadi faktor dari , , dan , yaitu dan . Kemudian, diambil pangkat terbesar dari setiap faktor prima tersebut sehingga didapat KPK dari , , dan adalah . Oleh karena itu, lampu-lampu tersebut paling cepat menyala bersama-sama lagi setelah detik. Jadi, jawaban yang tepat adalah D.

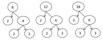
Detik saat lampu-lampu tersebut paling cepat menyala bersama-sama dapat dicari menggunakan KPK dari 8, 12, dan 18.

Perhatikan pohon faktor berikut!

 

Akibatnya, didapat bahwa faktorisasi prima sebagai berikut.

begin mathsize 14px style table attributes columnalign right center left columnspacing 0px end attributes row 8 equals cell 2 cubed end cell row 12 equals cell 2 squared cross times 3 end cell row 18 equals cell 2 cross times 3 squared end cell end table end style 

Perhatikan bahwa terdapat dua bilangan prima yang menjadi faktor dari 8, 12, dan 18, yaitu 2 dan 3.

Kemudian, diambil pangkat terbesar dari setiap faktor prima tersebut sehingga didapat KPK dari 8, 12, dan 18 adalah begin mathsize 14px style 2 cubed cross times 3 squared equals 72 end style.

Oleh karena itu, lampu-lampu tersebut paling cepat menyala bersama-sama lagi setelah 72 detik.

Jadi, jawaban yang tepat adalah D.

Perdalam pemahamanmu bersama Master Teacher
di sesi Live Teaching, GRATIS!

26

nanajaya

Makasih ❤️ Mudah dimengerti Bantu banget

Iklan

Pertanyaan serupa

KPK dari bilangan 14 , 50 ,dan 70 adalah ....

6

5.0

Jawaban terverifikasi

RUANGGURU HQ

Jl. Dr. Saharjo No.161, Manggarai Selatan, Tebet, Kota Jakarta Selatan, Daerah Khusus Ibukota Jakarta 12860

Coba GRATIS Aplikasi Roboguru

Coba GRATIS Aplikasi Ruangguru

Download di Google PlayDownload di AppstoreDownload di App Gallery

Produk Ruangguru

Hubungi Kami

Ruangguru WhatsApp

+62 815-7441-0000

Email info@ruangguru.com

[email protected]

Contact 02130930000

02130930000

Ikuti Kami

©2025 Ruangguru. All Rights Reserved PT. Ruang Raya Indonesia