Iklan

Pertanyaan

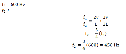
Seutas dawai memiliki nada atas ketiga dengan frekuensi sebesar 600 Hz, maka besarnya frekuensi nada atas kedua dawai tersebut adalah .…

Seutas dawai memiliki nada atas ketiga dengan frekuensi sebesar 600 Hz, maka besarnya frekuensi nada atas kedua dawai tersebut adalah .…

  1. 300 Hz

  2. 350 Hz

  3. 400 Hz

  4. 450 Hz

  5. 500 Hz

Ikuti Tryout SNBT & Menangkan E-Wallet 100rb

Habis dalam

01

:

08

:

49

:

56

Klaim

Iklan

Y. Frando

Master Teacher

Mahasiswa/Alumni Universitas Negeri Yogyakarta

Jawaban terverifikasi

Pembahasan

Perdalam pemahamanmu bersama Master Teacher
di sesi Live Teaching, GRATIS!

12

Nabila Hania Putri

Makasih ❤️

salma fauziah amir

Pembahasan tidak lengkap

Runiandrela 91

Pembahasan tidak lengkap

Iklan

Pertanyaan serupa

Frekuensi nada dasar sebuah dawai sepanjang L adalah 120 Hz. Jika dawai diperpendek menjadi ¼ L maka frekuensi nada dasarnya menjadi ....

4

5.0

Jawaban terverifikasi

RUANGGURU HQ

Jl. Dr. Saharjo No.161, Manggarai Selatan, Tebet, Kota Jakarta Selatan, Daerah Khusus Ibukota Jakarta 12860

Coba GRATIS Aplikasi Roboguru

Coba GRATIS Aplikasi Ruangguru

Download di Google PlayDownload di AppstoreDownload di App Gallery

Produk Ruangguru

Hubungi Kami

Ruangguru WhatsApp

+62 815-7441-0000

Email info@ruangguru.com

[email protected]

Contact 02130930000

02130930000

Ikuti Kami

©2026 Ruangguru. All Rights Reserved PT. Ruang Raya Indonesia