Iklan

Pertanyaan

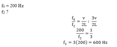
Frekuensi nada dasar yang dihasilkan oleh sebuah dawai adalah 200 Hz. Maka nada atas kedua yang dihasilkan mempunyai frekuensi sebesar .…

Frekuensi nada dasar yang dihasilkan oleh sebuah dawai adalah 200 Hz. Maka nada atas kedua yang dihasilkan mempunyai frekuensi sebesar .…

  1. 200 Hz

  2. 300 Hz

  3. 400 Hz

  4. 500 Hz

  5. 600 Hz

Ikuti Tryout SNBT & Menangkan E-Wallet 100rb

Habis dalam

01

:

06

:

12

:

07

Klaim

Iklan

M. Robo

Master Teacher

Jawaban terverifikasi

Pembahasan

Perdalam pemahamanmu bersama Master Teacher
di sesi Live Teaching, GRATIS!

10

Alda Herdiana

Pembahasan lengkap banget Ini yang aku cari! Mudah dimengerti Bantu banget Makasih ❤️

fanya Dwi Olivia

Pembahasan terpotong Mudah dimengerti

Iklan

Pertanyaan serupa

Sebuah dawai sepanjang 170 cm digetarkan sehingga terbentuk gelombang stasioner dengan nada dasar sebesar .… (cepat rambat bunyi di udara v = 340m/s)

1

3.6

Jawaban terverifikasi

RUANGGURU HQ

Jl. Dr. Saharjo No.161, Manggarai Selatan, Tebet, Kota Jakarta Selatan, Daerah Khusus Ibukota Jakarta 12860

Coba GRATIS Aplikasi Roboguru

Coba GRATIS Aplikasi Ruangguru

Download di Google PlayDownload di AppstoreDownload di App Gallery

Produk Ruangguru

Hubungi Kami

Ruangguru WhatsApp

+62 815-7441-0000

Email info@ruangguru.com

[email protected]

Contact 02130930000

02130930000

Ikuti Kami

©2026 Ruangguru. All Rights Reserved PT. Ruang Raya Indonesia