Iklan

Pertanyaan

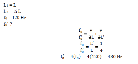
Frekuensi nada dasar sebuah dawai sepanjang L adalah 120 Hz. Jika dawai diperpendek menjadi ¼ L maka frekuensi nada dasarnya menjadi ....

Frekuensi nada dasar sebuah dawai sepanjang L adalah 120 Hz. Jika dawai diperpendek menjadi ¼ L maka frekuensi nada dasarnya menjadi ....

  1. 30 Hz

  2. 60 Hz

  3. 120 Hz

  4. 240 Hz

  5. 480 Hz

Ikuti Tryout SNBT & Menangkan E-Wallet 100rb

Habis dalam

01

:

14

:

03

:

24

Klaim

Iklan

Y. Frando

Master Teacher

Mahasiswa/Alumni Universitas Negeri Yogyakarta

Jawaban terverifikasi

Pembahasan

Perdalam pemahamanmu bersama Master Teacher
di sesi Live Teaching, GRATIS!

4

Liaaaaaa

Makasih ❤️

Iklan

Pertanyaan serupa

Sebuah dawai sepanjang 170 cm digetarkan sehingga terbentuk gelombang stasioner dengan nada dasar sebesar .… (cepat rambat bunyi di udara v = 340m/s)

1

3.6

Jawaban terverifikasi

RUANGGURU HQ

Jl. Dr. Saharjo No.161, Manggarai Selatan, Tebet, Kota Jakarta Selatan, Daerah Khusus Ibukota Jakarta 12860

Coba GRATIS Aplikasi Roboguru

Coba GRATIS Aplikasi Ruangguru

Download di Google PlayDownload di AppstoreDownload di App Gallery

Produk Ruangguru

Hubungi Kami

Ruangguru WhatsApp

+62 815-7441-0000

Email info@ruangguru.com

[email protected]

Contact 02130930000

02130930000

Ikuti Kami

©2026 Ruangguru. All Rights Reserved PT. Ruang Raya Indonesia