Iklan
Pertanyaan
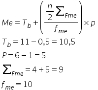
Perhatikan tabel berikut.


Median dari data tersebut adalah ….
10,85
11,5
13,5
14,25
14,75
Iklan
S. Dwi
Master Teacher
1
5.0 (1 rating)
Iklan
RUANGGURU HQ
Jl. Dr. Saharjo No.161, Manggarai Selatan, Tebet, Kota Jakarta Selatan, Daerah Khusus Ibukota Jakarta 12860
Produk Ruangguru
Bantuan & Panduan
Hubungi Kami
©2025 Ruangguru. All Rights Reserved PT. Ruang Raya Indonesia