Iklan

Pertanyaan

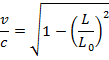
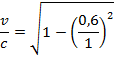
Panjang benda diukur saat bergerak menyusut 40 cm dari panjangnya saat diukur dalam keadaan diam. Bila panjang benda diukur dalam keadaan diam panjangnya 1 m dan c = kecepatan cahaya, maka kecepatan gerak benda adalah....

Panjang benda diukur saat bergerak menyusut 40 cm dari panjangnya saat diukur dalam keadaan diam. Bila panjang benda diukur dalam keadaan diam panjangnya 1 m dan c = kecepatan cahaya, maka kecepatan gerak benda adalah....

  1. 0,3 c

  2. 0,4 c

  3. 0,6 c

  4. 0,8 c

  5. 0,9 c

Ikuti Tryout SNBT & Menangkan E-Wallet 100rb

Habis dalam

01

:

09

:

18

:

36

Klaim

Iklan

K. Rachman

Master Teacher

Jawaban terverifikasi

Jawaban

jawaban yang tepat adalah D.

jawaban yang tepat adalah D.

Pembahasan

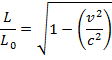
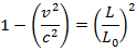
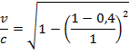
Benda bergerak dengan kecepatan mendekati kecepatancahaya maka benda mengalami kontraksi panjang, sehingga berlaku hubungan Jadi, jawaban yang tepat adalah D.

Benda bergerak dengan kecepatan mendekati kecepatan cahaya maka benda mengalami kontraksi panjang, sehingga berlaku hubungan

 

Jadi, jawaban yang tepat adalah D.

Perdalam pemahamanmu bersama Master Teacher
di sesi Live Teaching, GRATIS!

16

Iklan

Pertanyaan serupa

Sebuah elektron mempunyai energi total relativistik sama dengan empat kali energi diamnya. Jika massa diam elektron m maka momentum linier elektron adalah ….

5

5.0

Jawaban terverifikasi

RUANGGURU HQ

Jl. Dr. Saharjo No.161, Manggarai Selatan, Tebet, Kota Jakarta Selatan, Daerah Khusus Ibukota Jakarta 12860

Coba GRATIS Aplikasi Roboguru

Coba GRATIS Aplikasi Ruangguru

Download di Google PlayDownload di AppstoreDownload di App Gallery

Produk Ruangguru

Hubungi Kami

Ruangguru WhatsApp

+62 815-7441-0000

Email info@ruangguru.com

[email protected]

Contact 02130930000

02130930000

Ikuti Kami

©2026 Ruangguru. All Rights Reserved PT. Ruang Raya Indonesia