Iklan

Pertanyaan

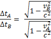
Pesawat A bergerak dengan kecepatan 0,6 terhadap pengamat di Bumi. Dalam arah yang sama terdapat pesawat B yang bergerak dengan kecepatan 0,8 terhadap pengamat di Bumi. Perbandingan dilasi waktu untuk pesawat A dengan pesawat B menurut pengamat di Bumi adalah….

Pesawat A bergerak dengan kecepatan 0,6c terhadap pengamat di Bumi. Dalam arah yang sama terdapat pesawat B yang bergerak dengan kecepatan 0,8c terhadap pengamat di Bumi. Perbandingan dilasi waktu untuk pesawat A dengan pesawat B menurut pengamat di Bumi adalah ….

  1. 3:4

  2. 4:3

  3. 9:2

  4. 9:16

  5. 16:9

Ikuti Tryout SNBT & Menangkan E-Wallet 100rb

Habis dalam

01

:

15

:

39

:

54

Klaim

Iklan

K. Rachman

Master Teacher

Jawaban terverifikasi

Jawaban

jawaban yang tepat adalah A.

jawaban yang tepat adalah A.

Pembahasan

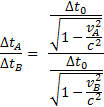
Diketahui: v A ​ v B ​ ​ = = ​ 0 , 6 c 0 , 8 c ​ Ditanya: △ t B ​ △ t A ​ ​ = ... ? Penyelesaian: Jadi, jawaban yang tepat adalah A.

Diketahui:

Ditanya:  

Penyelesaian:

Jadi, jawaban yang tepat adalah A.

Perdalam pemahamanmu bersama Master Teacher
di sesi Live Teaching, GRATIS!

9

Iklan

Pertanyaan serupa

Sebuah pesawat antariksa dilihat dari bumi sedang bergerak ke arah timur dengan kecepatan vp = 0,6c i dan dalam waktu 5 detik akan bertabrakan dengan sebuah komet yang sedang bergerak ke arah barat de...

2

5.0

Jawaban terverifikasi

RUANGGURU HQ

Jl. Dr. Saharjo No.161, Manggarai Selatan, Tebet, Kota Jakarta Selatan, Daerah Khusus Ibukota Jakarta 12860

Coba GRATIS Aplikasi Roboguru

Coba GRATIS Aplikasi Ruangguru

Download di Google PlayDownload di AppstoreDownload di App Gallery

Produk Ruangguru

Hubungi Kami

Ruangguru WhatsApp

+62 815-7441-0000

Email info@ruangguru.com

[email protected]

Contact 02130930000

02130930000

Ikuti Kami

©2026 Ruangguru. All Rights Reserved PT. Ruang Raya Indonesia