Iklan

Pertanyaan

Elektron bergerak dengan kecepatan 0,8 c. Momentum relativistik elektron tersebut adalah ... (massa diam elektron = 9 x 1 0 − 31 kg).

Elektron bergerak dengan kecepatan 0,8 c. Momentum relativistik elektron tersebut adalah ... (massa diam elektron = kg).

  1. 1,2c x 10-31

  2. 1,3c x 10-31

  3. 1,2c x 10-30

  4. 1,3c x 10-30

  5. 1,4c x 10-30

Ikuti Tryout SNBT & Menangkan E-Wallet 100rb

Habis dalam

01

:

15

:

53

:

43

Klaim

Iklan

K. Rachman

Master Teacher

Jawaban terverifikasi

Jawaban

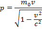
momentum relativistik elektron tersebut adalah dengan c adalah kecepatan cahaya.

momentum relativistik elektron tersebut adalah   dengan c adalah kecepatan cahaya.

Pembahasan

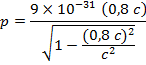
mo (massa diam elektron ) = kg v = 0,8 c Momentum relativistik elektron memenuhi p = 1 , 2 c × 1 0 − 30 Jadi, momentum relativistik elektron tersebut adalah dengan c adalah kecepatan cahaya.

mo (massa diam elektron ) =  begin mathsize 14px style 9 space x space 10 to the power of negative 31 end exponent end style kg

v = 0,8 c

 

Momentum relativistik elektron memenuhi






Jadi, momentum relativistik elektron tersebut adalah   dengan c adalah kecepatan cahaya.

Perdalam pemahamanmu bersama Master Teacher
di sesi Live Teaching, GRATIS!

14

Timothy Budiman Putra

Pembahasan lengkap banget Ini yang aku cari! Mudah dimengerti Bantu banget Makasih ❤️

Iklan

Pertanyaan serupa

Sebuah partikel bergerak memiliki momentum linier 5 MeV/c dan memiliki energi relativistik sebesar 10 MeV (c menunjukkan laju cahaya dalam vakum), maka kecepatan patikel tersebut adalah …

3

0.0

Jawaban terverifikasi

RUANGGURU HQ

Jl. Dr. Saharjo No.161, Manggarai Selatan, Tebet, Kota Jakarta Selatan, Daerah Khusus Ibukota Jakarta 12860

Coba GRATIS Aplikasi Roboguru

Coba GRATIS Aplikasi Ruangguru

Download di Google PlayDownload di AppstoreDownload di App Gallery

Produk Ruangguru

Hubungi Kami

Ruangguru WhatsApp

+62 815-7441-0000

Email info@ruangguru.com

[email protected]

Contact 02130930000

02130930000

Ikuti Kami

©2026 Ruangguru. All Rights Reserved PT. Ruang Raya Indonesia