Iklan

Pertanyaan

Pada parabola dengan persamaan x 2 − 8 x + 4 y + 8 = 0 , salah satu persamaan garis singgung kurva tersebut pada titik y = 1 adalah…

Pada parabola dengan persamaan , salah satu persamaan garis singgung kurva tersebut pada titik  adalah…

  1. x plus y equals 7

  2. x minus y equals 2

  3. 2 x minus 3 y equals 4

  4. x minus 2 y equals 6

  5. 3 x minus 5 y equals 2

Ikuti Tryout SNBT & Menangkan E-Wallet 100rb

Habis dalam

02

:

22

:

55

:

13

Klaim

Iklan

A. Nadhira

Master Teacher

Mahasiswa/Alumni Universitas Negeri Malang

Jawaban terverifikasi

Jawaban

salah satu persamaan garis singgung kurva tersebut adalah

salah satu persamaan garis singgung kurva tersebut adalah x space plus space y space equals space 7

Pembahasan

Pertama – tama subtitusikan titik ke persamaan kurva, akan didapat Didapat dan Akan dicek terlebih dahulu untuk Ingat kaidah membagi adil: Pada akhir tahap akan didapatkanpersamaan garis singgung Dengan cara yang sama, untuk akan didapatkan persamaan garis singgung Sehingga salah satu persamaan garis singgung kurva tersebut adalah

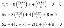
Pertama – tama subtitusikan titik y equals 1 ke persamaan kurva, akan didapat

 x squared minus 8 x plus 4 left parenthesis 1 right parenthesis plus 8 equals 0 x squared minus 8 x plus 12 equals 0 space space left parenthesis x minus 6 right parenthesis left parenthesis x minus 2 right parenthesis equals 0 space

Didapat x equals 6 dan x equals 2

 

Akan dicek terlebih dahulu untuk x equals 6

Ingat kaidah membagi adil:

Pada akhir tahap akan didapatkan persamaan garis singgung x space plus space y space equals space 7

 

Dengan cara yang sama, untuk x equals 2 akan didapatkan persamaan garis singgung x space minus space y space equals space 1

 

Sehingga salah satu persamaan garis singgung kurva tersebut adalah x space plus space y space equals space 7

Perdalam pemahamanmu bersama Master Teacher
di sesi Live Teaching, GRATIS!

1

Iklan

Pertanyaan serupa

Pada parabola dengan persamaan y 2 − 8 y + 3 x + 7 = 0 , persamaan garis yang menyinggung kurva pada ordinat 4 adalah…

1

0.0

Jawaban terverifikasi

RUANGGURU HQ

Jl. Dr. Saharjo No.161, Manggarai Selatan, Tebet, Kota Jakarta Selatan, Daerah Khusus Ibukota Jakarta 12860

Coba GRATIS Aplikasi Roboguru

Coba GRATIS Aplikasi Ruangguru

Download di Google PlayDownload di AppstoreDownload di App Gallery

Produk Ruangguru

Hubungi Kami

Ruangguru WhatsApp

+62 815-7441-0000

Email info@ruangguru.com

[email protected]

Contact 02130930000

02130930000

Ikuti Kami

©2026 Ruangguru. All Rights Reserved PT. Ruang Raya Indonesia