Iklan

Pertanyaan

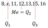
Jika hamparan dari data terurut 8, x , 11, 12,13,15, 16 adalah 5, maka rataan tiga kuartil dari data tersebut adalah ....

Jika hamparan dari data terurut  8, x, 11, 12,13,15, 16 adalah 5, maka rataan tiga kuartil dari data tersebut adalah ....

  1. 10,5

  2. 11

  3. 11,75

  4. 12

  5. 12,25

Ikuti Tryout SNBT & Menangkan E-Wallet 100rb

Habis dalam

02

:

14

:

46

:

32

Klaim

Iklan

S. Nur

Master Teacher

Jawaban terverifikasi

Pembahasan

Diketahui ada 7 data. Maka Kemudian, diketahui hamparannya adalah 5, maka Maka rataan tiga kuartilnya adalah Jadi, jawaban yang tepat adalah E.

Diketahui ada 7 data. Maka

Kemudian, diketahui hamparannya adalah 5, maka

begin mathsize 12px style H equals Q subscript 3 minus Q subscript 1 5 equals 15 minus x x equals 15 minus 5 x equals 10 end style     

Maka rataan tiga kuartilnya adalah

begin mathsize 12px style fraction numerator Q subscript 1 plus 2 Q subscript 2 plus Q subscript 3 over denominator 4 end fraction equals fraction numerator 10 plus 2 open parentheses 12 close parentheses plus 15 over denominator 4 end fraction equals 49 over 4 equals 12 , 25 end style

Jadi, jawaban yang tepat adalah E.

 

Perdalam pemahamanmu bersama Master Teacher
di sesi Live Teaching, GRATIS!

1

Iklan

Pertanyaan serupa

Variansi dari data 8, 4, 10, 6, 5, dan 3 adalah ....

2

1.0

Jawaban terverifikasi

RUANGGURU HQ

Jl. Dr. Saharjo No.161, Manggarai Selatan, Tebet, Kota Jakarta Selatan, Daerah Khusus Ibukota Jakarta 12860

Coba GRATIS Aplikasi Roboguru

Coba GRATIS Aplikasi Ruangguru

Download di Google PlayDownload di AppstoreDownload di App Gallery

Produk Ruangguru

Hubungi Kami

Ruangguru WhatsApp

+62 815-7441-0000

Email info@ruangguru.com

[email protected]

Contact 02130930000

02130930000

Ikuti Kami

©2025 Ruangguru. All Rights Reserved PT. Ruang Raya Indonesia