Iklan

Pertanyaan

FPB dari bilangan 18, 28, dan 42 adalah ....

FPB dari bilangan 18, 28, dan 42 adalah ....space space space space 

  1. 2

  2. 4

  3. 42

  4. 252

Ikuti Tryout SNBT & Menangkan E-Wallet 100rb

Habis dalam

02

:

06

:

25

:

20

Klaim

Iklan

M. Robo

Master Teacher

Jawaban terverifikasi

Pembahasan

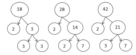
Dengan menggunakan pohon faktor Didapat bahwa Perhatikan bahwa terdapat satu bilangan prima yang sama menjadi faktor persekutuan dari 18, 28, dan 42, yaitu 2. Ambil pangkat terkecil dari faktor persekutuan prima yang sama tersebut, sehingga didapat FPB dari 18, 28, dan 42 adalah 2 .

Dengan menggunakan pohon faktor

 

Didapat bahwa

begin mathsize 12px style table attributes columnalign right center left columnspacing 0px end attributes row 18 equals cell 2 cross times 3 squared end cell row 28 equals cell 2 squared cross times 7 end cell row 42 equals cell 2 cross times 3 cross times 7 end cell end table end style 

Perhatikan bahwa terdapat satu bilangan prima yang sama menjadi faktor persekutuan dari 18, 28, dan 42, yaitu 2. Ambil pangkat terkecil dari faktor persekutuan prima yang sama tersebut, sehingga didapat FPB dari 18, 28, dan 42 adalah 2.

Perdalam pemahamanmu bersama Master Teacher
di sesi Live Teaching, GRATIS!

1

Iklan

Pertanyaan serupa

Di sebuah taman, terdapat lampu-lampu hias dengan warna berbeda-beda. Lampu berwarna merah menyala setiap 8 detik, lampu berwarna biru menyala setiap 12 detik, dan lampu berwarna putih menyala setiap ...

1

3.5

Jawaban terverifikasi

RUANGGURU HQ

Jl. Dr. Saharjo No.161, Manggarai Selatan, Tebet, Kota Jakarta Selatan, Daerah Khusus Ibukota Jakarta 12860

Coba GRATIS Aplikasi Roboguru

Coba GRATIS Aplikasi Ruangguru

Download di Google PlayDownload di AppstoreDownload di App Gallery

Produk Ruangguru

Hubungi Kami

Ruangguru WhatsApp

+62 815-7441-0000

Email info@ruangguru.com

[email protected]

Contact 02130930000

02130930000

Ikuti Kami

©2026 Ruangguru. All Rights Reserved PT. Ruang Raya Indonesia