Iklan

Pertanyaan

Faktor prima dari 125 adalah ....

Faktor prima dari 125 adalah ....space space space 

  1. 5

  2. 2, dan 3

  3. 2, dan 5

  4. 1, 2, dan 5

Ikuti Tryout SNBT & Menangkan E-Wallet 100rb

Habis dalam

02

:

14

:

17

:

06

Klaim

Iklan

M. Robo

Master Teacher

Jawaban terverifikasi

Jawaban

faktor prima dari 125 adalah 5.

faktor prima dari 125 adalah 5.

Pembahasan

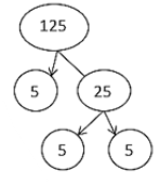
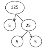
Dengan menggunakan pohon faktor Didapat bahwa 125 = 5 × 5 × 5 . Sehingga faktor prima dari 125 adalah 5.

Dengan menggunakan pohon faktor

  

Didapat bahwa 125 = 5 × 5 × 5.

Sehingga faktor prima dari 125 adalah 5.

Perdalam pemahamanmu bersama Master Teacher
di sesi Live Teaching, GRATIS!

3

Iklan

Pertanyaan serupa

Di sebuah taman, terdapat lampu-lampu hias dengan warna berbeda-beda. Lampu berwarna merah menyala setiap 8 detik, lampu berwarna biru menyala setiap 12 detik, dan lampu berwarna putih menyala setiap ...

1

3.5

Jawaban terverifikasi

RUANGGURU HQ

Jl. Dr. Saharjo No.161, Manggarai Selatan, Tebet, Kota Jakarta Selatan, Daerah Khusus Ibukota Jakarta 12860

Coba GRATIS Aplikasi Roboguru

Coba GRATIS Aplikasi Ruangguru

Download di Google PlayDownload di AppstoreDownload di App Gallery

Produk Ruangguru

Hubungi Kami

Ruangguru WhatsApp

+62 815-7441-0000

Email info@ruangguru.com

[email protected]

Contact 02130930000

02130930000

Ikuti Kami

©2026 Ruangguru. All Rights Reserved PT. Ruang Raya Indonesia