Iklan

Pertanyaan

Di sebuah taman, terdapat lampu-lampu hias dengan warna berbeda-beda. Lampu berwarna merah menyala setiap 8 detik, lampu berwarna biru menyala setiap 12 detik, dan lampu berwarna putih menyala setiap 18 detik. Jika saat ini lampu-lampu tersebut menyala bersama-sama, maka lampu-lampu tersebut paling cepat menyala bersama-sama lagi setelah ... detik.

Di sebuah taman, terdapat lampu-lampu hias dengan warna berbeda-beda. Lampu berwarna merah menyala setiap 8 detik, lampu berwarna biru menyala setiap 12 detik, dan lampu berwarna putih menyala setiap 18 detik. Jika saat ini lampu-lampu tersebut menyala bersama-sama, maka lampu-lampu tersebut paling cepat menyala bersama-sama lagi setelah ... detik.space space space space 

  1. 6

  2. 24

  3. 36

  4. 72

Ikuti Tryout SNBT & Menangkan E-Wallet 100rb

Habis dalam

02

:

01

:

04

:

41

Klaim

Iklan

M. Robo

Master Teacher

Jawaban terverifikasi

Jawaban

lampu-lampu tersebut paling cepat menyala bersama-sama lagi setelah 72 detik.

lampu-lampu tersebut paling cepat menyala bersama-sama lagi setelah 72 detik.undefined 

Pembahasan

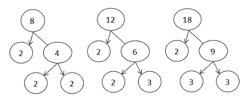
Detik di mana lampu-lampu tersebut paling cepat menyala bersama-sama dapat dicari menggunakan KPK dari 8, 12, dan 18. Dengan menggunakan pohon faktor Didapat bahwa Perhatikan bahwa terdapat dua bilangan prima yang menjadi faktor dari 8, 12, atau 18, yaitu 2 dan 3. Ambil pangkat terbesar dari setiap faktor prima tersebut, sehingga didapat KPK dari 8, 12, dan 18 adalah Sehingga lampu-lampu tersebut paling cepat menyala bersama-sama lagi setelah 72 detik.

Detik di mana lampu-lampu tersebut paling cepat menyala bersama-sama dapat dicari menggunakan KPK dari 8, 12, dan 18.

Dengan menggunakan pohon faktor

 

Didapat bahwa

begin mathsize 12px style 8 equals 2 cubed 12 equals 2 squared cross times 3 18 equals 2 cross times 3 squared end style 

Perhatikan bahwa terdapat dua bilangan prima yang menjadi faktor dari 8, 12, atau 18, yaitu 2 dan 3. Ambil pangkat terbesar dari setiap faktor prima tersebut, sehingga didapat KPK dari 8, 12, dan 18 adalah begin mathsize 12px style 2 cubed cross times 3 squared equals 72 end style 

Sehingga lampu-lampu tersebut paling cepat menyala bersama-sama lagi setelah 72 detik.undefined 

Perdalam pemahamanmu bersama Master Teacher
di sesi Live Teaching, GRATIS!

1

selfi production dua

Pembahasan tidak lengkap

Iklan

Pertanyaan serupa

Faktor prima dari 125 adalah ....

3

0.0

Jawaban terverifikasi

RUANGGURU HQ

Jl. Dr. Saharjo No.161, Manggarai Selatan, Tebet, Kota Jakarta Selatan, Daerah Khusus Ibukota Jakarta 12860

Coba GRATIS Aplikasi Roboguru

Coba GRATIS Aplikasi Ruangguru

Download di Google PlayDownload di AppstoreDownload di App Gallery

Produk Ruangguru

Hubungi Kami

Ruangguru WhatsApp

+62 815-7441-0000

Email info@ruangguru.com

[email protected]

Contact 02130930000

02130930000

Ikuti Kami

©2026 Ruangguru. All Rights Reserved PT. Ruang Raya Indonesia