Iklan

Pertanyaan

Dua senar A dan B memiliki panjang dan luas penampang yang sama. Massa jenis senar A 900 k g / m 3 . Sedangkan massa jenis senar B 1.600 kg / m 3 . Jika frekuensi senar A sebesar 500 Hz, maka frekuensi senar B adalah ….

Dua senar A dan B memiliki panjang dan luas penampang yang sama. Massa jenis senar A . Sedangkan massa jenis senar B . Jika frekuensi senar A sebesar 500 Hz, maka frekuensi senar B adalah ….

  1. 125 Hz

  2. 250 Hz

  3. 375 Hz

  4. 475 Hz

Ikuti Tryout SNBT & Menangkan E-Wallet 100rb

Habis dalam

02

:

18

:

16

:

04

Klaim

Iklan

Y. Maghfirah

Master Teacher

Jawaban terverifikasi

Pembahasan

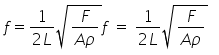
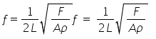
Diketahui : Hukum Mersenne dinyatakan dalam Jika panjang dan luas penampang sama, sedangkan frekuensi dan massa jenis berbeda diperoleh Jika sama, maka diperoleh persamaan

Diketahui :

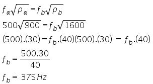
f subscript a equals 500 H z rho subscript a equals 900 rho subscript b equals 1600

Hukum Mersenne dinyatakan dalam

Jika panjang dan luas penampang sama, sedangkan frekuensi dan massa jenis berbeda diperoleh

 

Jika fraction numerator 1 over denominator 2 L end fraction square root of F over A end root sama, maka diperoleh persamaan

open parentheses fraction numerator 1 over denominator 2 L end fraction square root of F over A end root close parentheses subscript alpha equals open parentheses fraction numerator 1 over denominator 2 L end fraction square root of F over A end root close parentheses subscript b f subscript alpha square root of rho subscript alpha end root equals f subscript b square root of rho subscript b end root

 

Perdalam pemahamanmu bersama Master Teacher
di sesi Live Teaching, GRATIS!

10

Iklan

Pertanyaan serupa

Sepotong senarmenghasilkan nada dengan frekuensi 400 Hz. Jika tegangannya diperbesar 4 kali maka frekuensi nada yang dihasilkan sebesar ....

2

4.6

Jawaban terverifikasi

RUANGGURU HQ

Jl. Dr. Saharjo No.161, Manggarai Selatan, Tebet, Kota Jakarta Selatan, Daerah Khusus Ibukota Jakarta 12860

Coba GRATIS Aplikasi Roboguru

Coba GRATIS Aplikasi Ruangguru

Download di Google PlayDownload di AppstoreDownload di App Gallery

Produk Ruangguru

Hubungi Kami

Ruangguru WhatsApp

+62 815-7441-0000

Email info@ruangguru.com

[email protected]

Contact 02130930000

02130930000

Ikuti Kami

©2026 Ruangguru. All Rights Reserved PT. Ruang Raya Indonesia