Iklan

Pertanyaan

Berikut ini yang merupakan fungsi korespondensi satu-satu adalah ....

Berikut ini yang merupakan fungsi korespondensi satu-satu adalah ....

Ikuti Tryout SNBT & Menangkan E-Wallet 100rb

Habis dalam

02

:

12

:

33

:

25

Klaim

Iklan

H. Eka

Master Teacher

Mahasiswa/Alumni Universitas Pendidikan Indonesia

Jawaban terverifikasi

Jawaban

jawaban yang tepat adalah D.

 jawaban yang tepat adalah D.

Pembahasan

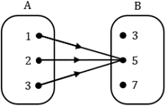
Perhatikan bahwa fungsi korespondensi satu-satu dari himpunan A ke himpunan B adalah fungsi yang seluruh anggota himpunan A berpasangan tepat dengan satu anggota himpunan B dan seluruh anggota himpunan B juga berpasangan tepat dengan satu anggota A. Pilihan A Karena terdapat anggota himpunan B yang tidak berpasangan tepat satu dengan anggota himpunan A, yaitu 3 dan 7, maka fungsi pada pilihan A bukanlah fungsi korespondensi satu-satu. Pilihan B Karena terdapat anggota himpunan Byang tidak berpasangan tepat satu dengan anggota himpunan A, yaitu 3, maka fungsi pada pilihan Bbukanlah fungsi korespondensi satu-satu. Pilihan C Karena 3 padahimpunan B berpasangan lebih dari satu dengananggota himpunan A, yaitu 2dan 4, maka fungsi pada pilihan Cbukanlah fungsi korespondensi satu-satu. Pilihan D Karena semua anggota himpunan A berpasangan tepat dengan satu anggota himpunan B dan seluruh anggota himpunan Bjuga berpasangan tepat dengan satu anggota A, maka fungsi pada pilihan D merupakan fungsi korespondensi satu-satu. Jadi,jawaban yang tepat adalah D.

Perhatikan bahwa fungsi korespondensi satu-satu dari himpunan A ke himpunan B adalah fungsi yang seluruh anggota himpunan A berpasangan tepat dengan satu anggota himpunan B dan seluruh anggota himpunan B juga berpasangan tepat dengan satu anggota A.

Pilihan A

Karena terdapat anggota himpunan B yang tidak berpasangan tepat satu dengan anggota himpunan A, yaitu 3 dan 7, maka fungsi pada pilihan A bukanlah fungsi korespondensi satu-satu.

Pilihan B

Karena terdapat anggota himpunan B yang tidak berpasangan tepat satu dengan anggota himpunan A, yaitu 3, maka fungsi pada pilihan B bukanlah fungsi korespondensi satu-satu.

Pilihan C

Karena 3 pada himpunan B berpasangan lebih dari satu dengan anggota himpunan A, yaitu 2 dan 4, maka fungsi pada pilihan C bukanlah fungsi korespondensi satu-satu.

Pilihan D

Karena semua anggota himpunan A berpasangan tepat dengan satu anggota himpunan B dan seluruh anggota himpunan B juga berpasangan tepat dengan satu anggota A, maka fungsi pada pilihan D merupakan fungsi korespondensi satu-satu.

Jadi, jawaban yang tepat adalah D.

Perdalam pemahamanmu bersama Master Teacher
di sesi Live Teaching, GRATIS!

1

Iklan

Pertanyaan serupa

Diketahui banyaknya fungsi korespondensi satu-satu yang mungkin dari himpunan A ke himpunan B adalah 720 buah. Jika n(A) dan n(B) masing-masing menyatakan banyaknya anggota himpunan A dan B, maka n(A)...

6

3.3

Jawaban terverifikasi

RUANGGURU HQ

Jl. Dr. Saharjo No.161, Manggarai Selatan, Tebet, Kota Jakarta Selatan, Daerah Khusus Ibukota Jakarta 12860

Coba GRATIS Aplikasi Roboguru

Coba GRATIS Aplikasi Ruangguru

Download di Google PlayDownload di AppstoreDownload di App Gallery

Produk Ruangguru

Hubungi Kami

Ruangguru WhatsApp

+62 815-7441-0000

Email info@ruangguru.com

[email protected]

Contact 02130930000

02130930000

Ikuti Kami

©2025 Ruangguru. All Rights Reserved PT. Ruang Raya Indonesia