Iklan

Pertanyaan

Berikut adalah data berat badan 10 orang siswa (dalam satuan kg). 66 , 81 , 56 , 57 , 79 , 48 , 42 , 41 , 63 , 49 Nilai rataan tiga kuartil dari data di atas adalah ....

Berikut adalah data berat badan 10 orang siswa (dalam satuan kg).

    

Nilai rataan tiga kuartil dari data di atas adalah ....

  1. 53,75

  2. 55,5

  3. 56,75

  4. 58,25

  5. 60

Ikuti Tryout SNBT & Menangkan E-Wallet 100rb

Habis dalam

02

:

01

:

50

:

37

Klaim

Iklan

A. Acfreelance

Master Teacher

Jawaban terverifikasi

Pembahasan

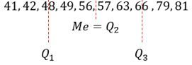
Pertama, kita urutkan dulu datanya menjadi seperti berikut. Sehingga kita peroleh Maka rataan tiga kuartilnya adalah adalah

Pertama, kita urutkan dulu datanya menjadi seperti berikut.

Sehingga kita peroleh

Error converting from MathML to accessible text.    

Maka rataan tiga kuartilnya adalah adalah

begin mathsize 12px style fraction numerator Q subscript 1 plus 2 Q subscript 2 plus Q subscript 3 over denominator 4 end fraction equals fraction numerator 48 plus 2 open parentheses 56 , 5 close parentheses plus 66 over denominator 4 end fraction equals 56 , 75 end style     

Perdalam pemahamanmu bersama Master Teacher
di sesi Live Teaching, GRATIS!

1

Iklan

Pertanyaan serupa

Jika hamparan dari data terurut 8, x , 11, 12,13,15, 16 adalah 5, maka rataan tiga kuartil dari data tersebut adalah ....

1

5.0

Jawaban terverifikasi

RUANGGURU HQ

Jl. Dr. Saharjo No.161, Manggarai Selatan, Tebet, Kota Jakarta Selatan, Daerah Khusus Ibukota Jakarta 12860

Coba GRATIS Aplikasi Roboguru

Coba GRATIS Aplikasi Ruangguru

Download di Google PlayDownload di AppstoreDownload di App Gallery

Produk Ruangguru

Hubungi Kami

Ruangguru WhatsApp

+62 815-7441-0000

Email info@ruangguru.com

[email protected]

Contact 02130930000

02130930000

Ikuti Kami

©2026 Ruangguru. All Rights Reserved PT. Ruang Raya Indonesia