Iklan

Pertanyaan

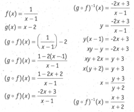
J ika f ( x ) = x − 1 1 ​ d an g ( x ) = x − 2 , maka ( g o f ) − 1 ( x ) a d a l ah ...

  1. fraction numerator x plus 2 over denominator x plus 1 end fraction

  2. fraction numerator x plus 1 over denominator x plus 2 end fraction

  3. (x + 1)(x + 2)

  4. fraction numerator x minus 3 over denominator x squared end fraction

  5. fraction numerator x plus 3 over denominator x plus 2 end fraction

Ikuti Tryout SNBT & Menangkan E-Wallet 100rb

Habis dalam

02

:

21

:

02

:

50

Klaim

Iklan

S. Nur

Master Teacher

Jawaban terverifikasi

Pembahasan

Perdalam pemahamanmu bersama Master Teacher
di sesi Live Teaching, GRATIS!

1

Risky ramadhqn

Pembahasan lengkap banget

Arifin

Pembahasan lengkap banget Mudah dimengerti

Iklan

Pertanyaan serupa

Diketahui dan c. Apakah ( f − 1 ∘ g − 1 ) ( x ) = ( g − 1 ∘ f − 1 ) ( x ) ?

1

4.0

Jawaban terverifikasi

RUANGGURU HQ

Jl. Dr. Saharjo No.161, Manggarai Selatan, Tebet, Kota Jakarta Selatan, Daerah Khusus Ibukota Jakarta 12860

Coba GRATIS Aplikasi Roboguru

Coba GRATIS Aplikasi Ruangguru

Download di Google PlayDownload di AppstoreDownload di App Gallery

Produk Ruangguru

Hubungi Kami

Ruangguru WhatsApp

+62 815-7441-0000

Email info@ruangguru.com

[email protected]

Contact 02130930000

02130930000

Ikuti Kami

©2025 Ruangguru. All Rights Reserved PT. Ruang Raya Indonesia