Sofi Y
09 Oktober 2025 07:13
Iklan
Sofi Y
09 Oktober 2025 07:13
Pertanyaan
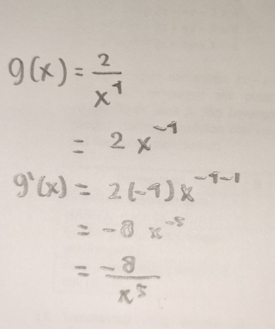
turunan fungsi aljabar dari g(x) = 2/x⁴
1
1
Iklan
KRISTO E
09 Oktober 2025 11:57
Turunan g(x)

· 0.0 (0)
Iklan
Tanya ke AiRIS
Yuk, cobain chat dan belajar bareng AiRIS, teman pintarmu!

LATIHAN SOAL GRATIS!
Drill Soal
Latihan soal sesuai topik yang kamu mau untuk persiapan ujian


Perdalam pemahamanmu bersama Master Teacher
di sesi Live Teaching, GRATIS!