Kanzhaa K
17 Oktober 2024 13:15
Iklan
Kanzhaa K
17 Oktober 2024 13:15
Pertanyaan
tolong kakk

1
1
Iklan
Putti H
18 Oktober 2024 03:19
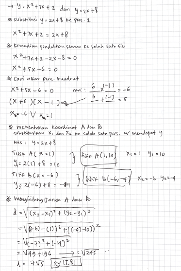
foto terlampir

· 0.0 (0)
Iklan
Tanya ke AiRIS
Yuk, cobain chat dan belajar bareng AiRIS, teman pintarmu!

LATIHAN SOAL GRATIS!
Drill Soal
Latihan soal sesuai topik yang kamu mau untuk persiapan ujian


Perdalam pemahamanmu bersama Master Teacher
di sesi Live Teaching, GRATIS!