Alyssa A

27 Agustus 2024 21:45
Iklan
Alyssa A

27 Agustus 2024 21:45
Pertanyaan
tolong jelaskan caranya

1
1
Iklan
BimBim B
28 Agustus 2024 09:47
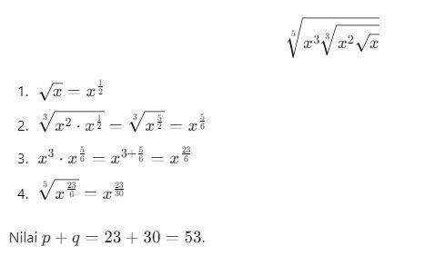
Penjelasan
terlampir

· 0.0 (0)
Iklan
Tanya ke AiRIS
Yuk, cobain chat dan belajar bareng AiRIS, teman pintarmu!

LATIHAN SOAL GRATIS!
Drill Soal
Latihan soal sesuai topik yang kamu mau untuk persiapan ujian


Perdalam pemahamanmu bersama Master Teacher
di sesi Live Teaching, GRATIS!