Khirania Z
Ditanya 2 hari yang lalu
Iklan
Khirania Z
Ditanya 2 hari yang lalu
Pertanyaan
tolong jawab

8
1
Iklan
Monica Y
Dijawab 2 hari yang lalu
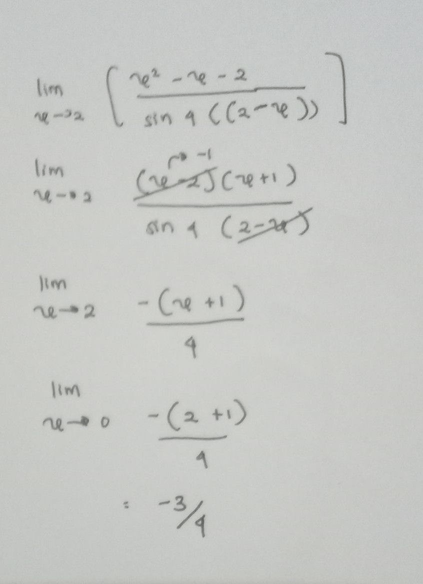
Haloo kaa, izin jawab jadi itu yang pembilang disederhanakan dahulu lalu disederhanakan dan dimasukkan x nya yaitu 2. Jadi jawabannya C. -3/4

· 5.0 (1)
Khirania Z
Dijawab sehari yang lalu
terimakasih banyak kakkk, oh iya aku mau tanya lg kaaa, itu kenapa saat di eliminasi di bagian pembilangnya jadi -1 yaa? terimakasih sebelumnya kakk
Iklan
Tanya ke AiRIS
Yuk, cobain chat dan belajar bareng AiRIS, teman pintarmu!

LATIHAN SOAL GRATIS!
Drill Soal
Latihan soal sesuai topik yang kamu mau untuk persiapan ujian


Perdalam pemahamanmu bersama Master Teacher
di sesi Live Teaching, GRATIS!