Dzidni S
17 September 2025 07:42
Iklan
Dzidni S
17 September 2025 07:42
Pertanyaan
Tolong jawab yaa

1
1
Iklan
Muhammad F
17 September 2025 11:18
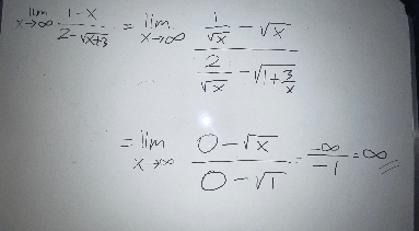
pembilang dan penyebut dibagi dengan √x
Jawabannya e. ∞

· 5.0 (1)
Iklan
Tanya ke AiRIS
Yuk, cobain chat dan belajar bareng AiRIS, teman pintarmu!

LATIHAN SOAL GRATIS!
Drill Soal
Latihan soal sesuai topik yang kamu mau untuk persiapan ujian


Perdalam pemahamanmu bersama Master Teacher
di sesi Live Teaching, GRATIS!