Alina T
06 Februari 2026 04:25
Iklan
Alina T
06 Februari 2026 04:25
Pertanyaan
tolong dong

31
2
Iklan
Yusri H
06 Februari 2026 05:07
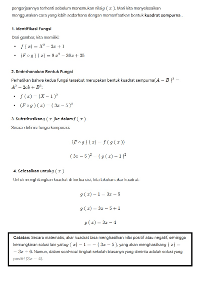
Langkah-langkah yang di tulis di kertas sudah benar sampai sejauh ini, tetapi pengerjaannya terhenti sebelum menemukan nilai g(x)

· 0.0 (0)
Iklan
Naura A
06 Februari 2026 12:38
Coba ke chat gpt
· 0.0 (0)
Tanya ke AiRIS
Yuk, cobain chat dan belajar bareng AiRIS, teman pintarmu!

LATIHAN SOAL GRATIS!
Drill Soal
Latihan soal sesuai topik yang kamu mau untuk persiapan ujian


Perdalam pemahamanmu bersama Master Teacher
di sesi Live Teaching, GRATIS!