Cicilia D
02 Oktober 2025 07:34
Iklan
Cicilia D
02 Oktober 2025 07:34
Pertanyaan
tolong dijawab

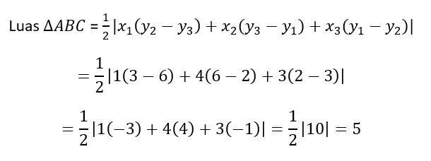
3
1
Iklan
Muhammad R
02 Oktober 2025 12:19
Jawaban No 3

· 0.0 (0)
Iklan
Tanya ke AiRIS
Yuk, cobain chat dan belajar bareng AiRIS, teman pintarmu!

LATIHAN SOAL GRATIS!
Drill Soal
Latihan soal sesuai topik yang kamu mau untuk persiapan ujian


Perdalam pemahamanmu bersama Master Teacher
di sesi Live Teaching, GRATIS!