Bumbu B
23 Desember 2023 11:18
Iklan
Bumbu B
23 Desember 2023 11:18
Pertanyaan
Tolong dibantu kak yg no 2

1
1
Iklan
H. Endah
Mahasiswa/Alumni Universitas Negeri Yogyakarta
23 Desember 2023 14:47
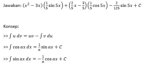
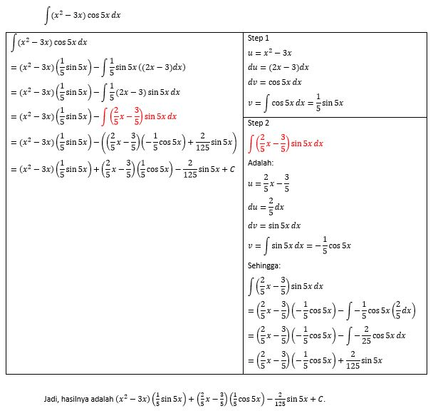
Jawaban: Terlampir
· 0.0 (0)
Iklan
Tanya ke AiRIS
Yuk, cobain chat dan belajar bareng AiRIS, teman pintarmu!
Roboguru Plus
Dapatkan pembahasan soal ga pake lama, langsung dari Tutor!


Perdalam pemahamanmu bersama Master Teacher
di sesi Live Teaching, GRATIS!