PUTRI F
10 September 2024 06:24
Iklan
PUTRI F
10 September 2024 06:24
Pertanyaan
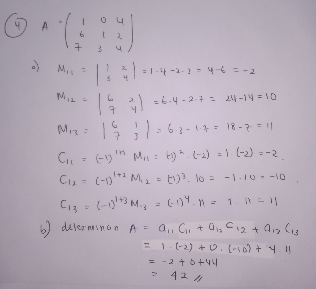
tolong dibantu ka

1
1
Iklan
E. Nur
10 September 2024 10:35

· 0.0 (0)
Iklan
Tanya ke AiRIS
Yuk, cobain chat dan belajar bareng AiRIS, teman pintarmu!

LATIHAN SOAL GRATIS!
Drill Soal
Latihan soal sesuai topik yang kamu mau untuk persiapan ujian


Perdalam pemahamanmu bersama Master Teacher
di sesi Live Teaching, GRATIS!