Bumbu B
25 Desember 2023 12:09
Iklan
Bumbu B
25 Desember 2023 12:09
Pertanyaan
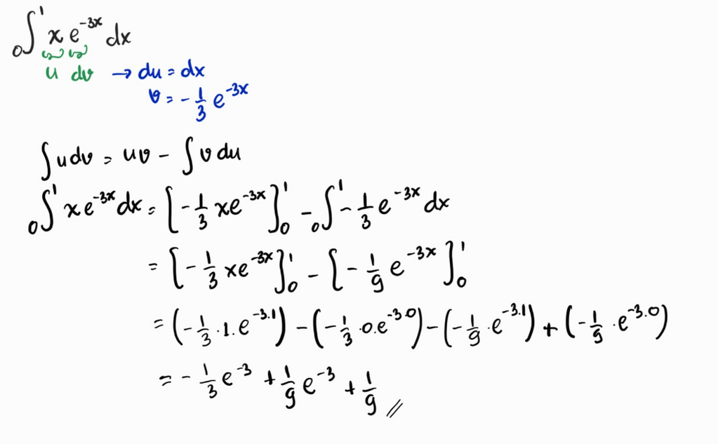
Tolong bantu yang no 3 kak

1
1
Iklan
BimBim B
25 Desember 2023 22:39
Penjelasan
terlampir

· 5.0 (1)
Iklan
Tanya ke AiRIS
Yuk, cobain chat dan belajar bareng AiRIS, teman pintarmu!
Roboguru Plus
Dapatkan pembahasan soal ga pake lama, langsung dari Tutor!


Perdalam pemahamanmu bersama Master Teacher
di sesi Live Teaching, GRATIS!