Nisrina N
17 November 2025 01:52
Iklan
Nisrina N
17 November 2025 01:52
Pertanyaan
Tolong bantu secepatnya

6
1
Iklan
Muhammad R
17 November 2025 03:42
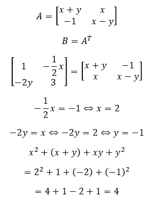
Cmiiw, semoga Membantu

· 0.0 (0)
Iklan
Tanya ke AiRIS
Yuk, cobain chat dan belajar bareng AiRIS, teman pintarmu!

LATIHAN SOAL GRATIS!
Drill Soal
Latihan soal sesuai topik yang kamu mau untuk persiapan ujian


Perdalam pemahamanmu bersama Master Teacher
di sesi Live Teaching, GRATIS!