Al B
02 Oktober 2025 12:18
Iklan
Al B
02 Oktober 2025 12:18
Pertanyaan
tolong bantu saya menjawab pertanyaan ini

39
2
Iklan
Muhammad R
02 Oktober 2025 12:25
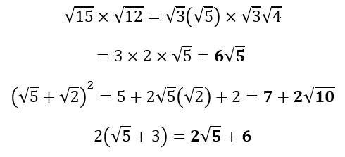
Jawaban No 2,3,4, Semoga Membantu

· 0.0 (0)
Ashila F
02 Oktober 2025 12:51
no. 1 saya teruskan👌
Iklan
Ashila F
02 Oktober 2025 12:50
1. √32 + 2√2 - 3√50
= √32 = √16×2 = √2
= √50 = √25×2 = 5√2
= 4√2 + 2√2 - 3(5√2) = (4 + 2 - 15)√2
= −9√2
· 0.0 (0)
Tanya ke AiRIS
Yuk, cobain chat dan belajar bareng AiRIS, teman pintarmu!

LATIHAN SOAL GRATIS!
Drill Soal
Latihan soal sesuai topik yang kamu mau untuk persiapan ujian


Perdalam pemahamanmu bersama Master Teacher
di sesi Live Teaching, GRATIS!