Aisyah S
19 Oktober 2025 14:47
Iklan
Aisyah S
19 Oktober 2025 14:47
Pertanyaan
tolong bantu mengerjakan menggunakan cara
trimakasi🙏🏻

7
1
Iklan
Muhammad R
19 Oktober 2025 15:05
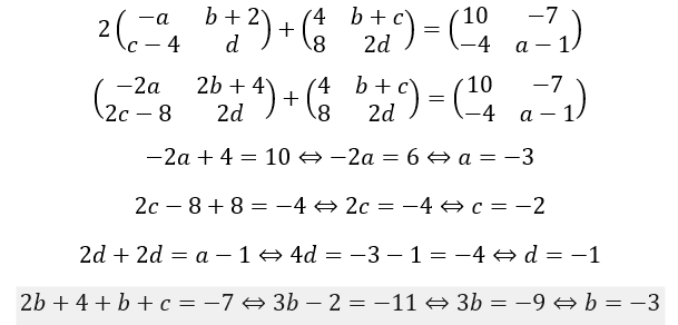
Jadi a +b+c+d = -3-3-2-1 = -9
CMIIW, kalau ketemu soal kayak gini, intinya tinggal kita samain nilai per letaknya pada tiap matriks,, Semoga dapat dipahami..Semangatt belajarnya..

· 0.0 (0)
Aisyah S
19 Oktober 2025 15:19
makasi kak
Iklan
Tanya ke AiRIS
Yuk, cobain chat dan belajar bareng AiRIS, teman pintarmu!

LATIHAN SOAL GRATIS!
Drill Soal
Latihan soal sesuai topik yang kamu mau untuk persiapan ujian


Perdalam pemahamanmu bersama Master Teacher
di sesi Live Teaching, GRATIS!