Aqilah S
09 Oktober 2025 00:09
Iklan
Aqilah S
09 Oktober 2025 00:09
Pertanyaan
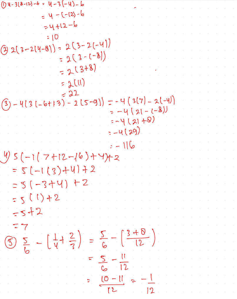
Tolong bantu jawab

5
1
Iklan
Nadira A
09 Oktober 2025 07:56
Maaf baru sampai nomer 5

· 0.0 (0)
Iklan
Tanya ke AiRIS
Yuk, cobain chat dan belajar bareng AiRIS, teman pintarmu!

LATIHAN SOAL GRATIS!
Drill Soal
Latihan soal sesuai topik yang kamu mau untuk persiapan ujian


Perdalam pemahamanmu bersama Master Teacher
di sesi Live Teaching, GRATIS!