Yourirfa S
23 Agustus 2025 15:02
Iklan
Yourirfa S
23 Agustus 2025 15:02
Pertanyaan
tolong bantu jawab kak🙏

1
1
Iklan
Willy F
23 Agustus 2025 15:53
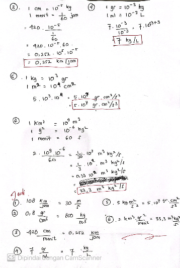
Jawaban sebagaimana terlampir


· 0.0 (0)
Iklan
Tanya ke AiRIS
Yuk, cobain chat dan belajar bareng AiRIS, teman pintarmu!

LATIHAN SOAL GRATIS!
Drill Soal
Latihan soal sesuai topik yang kamu mau untuk persiapan ujian


Perdalam pemahamanmu bersama Master Teacher
di sesi Live Teaching, GRATIS!