Yasminn Y

03 September 2025 04:32
Iklan
Yasminn Y

03 September 2025 04:32
Pertanyaan
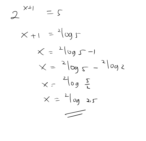
Tentukan penyelesaian dari (2^(x+1))=5

11
3
Iklan
E. Nur
03 September 2025 10:01
Pembahasan pada gambar terlampir
· 5.0 (2)
Evelyn S
06 September 2025 11:15
kook pke log kak
Iklan
Riana K
03 September 2025 05:39
· 5.0 (1)
Muhammad D
05 September 2025 03:02
120
Nadia N
03 September 2025 14:50
2
· 3.0 (2)
Tanya ke AiRIS
Yuk, cobain chat dan belajar bareng AiRIS, teman pintarmu!

LATIHAN SOAL GRATIS!
Drill Soal
Latihan soal sesuai topik yang kamu mau untuk persiapan ujian


Perdalam pemahamanmu bersama Master Teacher
di sesi Live Teaching, GRATIS!