Cynthia C

10 September 2025 16:34
Iklan
Cynthia C

10 September 2025 16:34
Pertanyaan
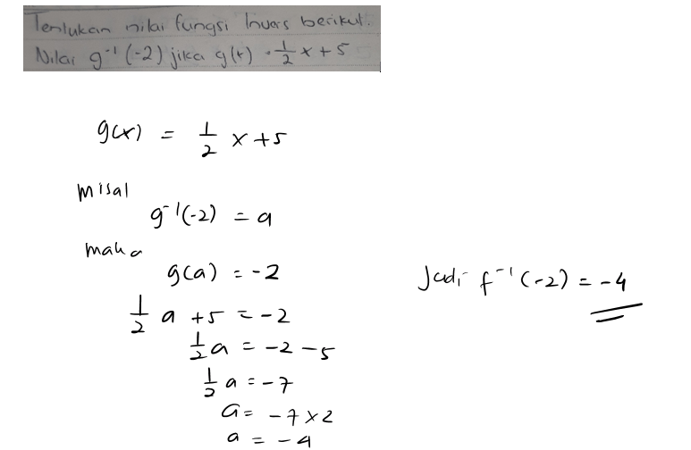
Tentukan nilai fungsi invers
Nilai g-¹ (-2) jika g(x) = ½ x + 5

8
3
Iklan
E. Nur
11 September 2025 06:24
Pembahasan pada gambar terlampir
· 4.0 (4)
Datur U
16 September 2025 07:01
bukannya harusnya g(x)=1/2x+5 => g^-1(x)=2x-10 g^-1(-2)=2(-2)-10 g^-1(-2)=-14
Iklan
AresMahesa A
14 September 2025 13:38
Cari g-
· 0.0 (0)
Hilmi H
14 September 2025 14:50
......
· 0.0 (0)
Tanya ke AiRIS
Yuk, cobain chat dan belajar bareng AiRIS, teman pintarmu!

LATIHAN SOAL GRATIS!
Drill Soal
Latihan soal sesuai topik yang kamu mau untuk persiapan ujian


Perdalam pemahamanmu bersama Master Teacher
di sesi Live Teaching, GRATIS!