Farida I
28 Juli 2024 05:01
Iklan
Farida I
28 Juli 2024 05:01
Pertanyaan
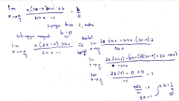
Tentukan nilai a dan b yang memenuhi tanpa menggunakan turunan

1
1
Iklan
Aca A
28 Juli 2024 07:11
semoga membantu

· 0.0 (0)
Iklan
Tanya ke AiRIS
Yuk, cobain chat dan belajar bareng AiRIS, teman pintarmu!

LATIHAN SOAL GRATIS!
Drill Soal
Latihan soal sesuai topik yang kamu mau untuk persiapan ujian


Perdalam pemahamanmu bersama Master Teacher
di sesi Live Teaching, GRATIS!