Veby G
29 November 2025 04:27
Iklan
Veby G
29 November 2025 04:27
6
1
Iklan
Muhammad R
29 November 2025 09:59
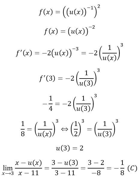
Semoga Membantu cmiiw, boleh diskusi jika ada hal yang belum dipahami

· 0.0 (0)
Veby G
30 November 2025 05:34
terimakasih banyak! mudah dipahami😄
Iklan
Tanya ke AiRIS
Yuk, cobain chat dan belajar bareng AiRIS, teman pintarmu!

LATIHAN SOAL GRATIS!
Drill Soal
Latihan soal sesuai topik yang kamu mau untuk persiapan ujian


Perdalam pemahamanmu bersama Master Teacher
di sesi Live Teaching, GRATIS!