Hany D
09 November 2024 12:02
Iklan
Hany D
09 November 2024 12:02
Pertanyaan
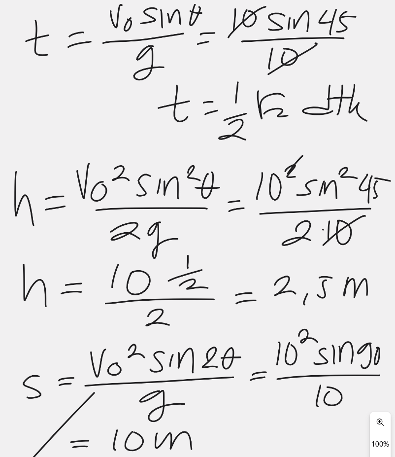
seorang pemain bola menendang bola dengan kecepatan awal 10 m/s. apabila sudut evaluasi 45° dan percepatan gravitasi 10m/s². tentukan waktu yang diperlukan bola sampai titik tertinggi dan ketinggian maksimum dan jangkauan maksimum bola
1
1
Iklan
Paul C
09 November 2024 14:49
t = (V_0 sin theta)/g = (10 sin 45)/10 t = 1/2 sqrt(2) + t_H h = (V_0^2 sin^2 theta)/(2g) = (10^2 sin^2 45)/(2 * 10) h = (10 (1/2))/2 = 2.5 m s = (V_0^2 sin 2theta)/g = (10^2 sin 90)/10 = 10 m

· 5.0 (1)
Hany D
09 November 2024 22:00
terima kasih kak
Iklan
Tanya ke AiRIS
Yuk, cobain chat dan belajar bareng AiRIS, teman pintarmu!

LATIHAN SOAL GRATIS!
Drill Soal
Latihan soal sesuai topik yang kamu mau untuk persiapan ujian


Perdalam pemahamanmu bersama Master Teacher
di sesi Live Teaching, GRATIS!