Zahrah L
11 Agustus 2024 15:44
Iklan
Zahrah L
11 Agustus 2024 15:44
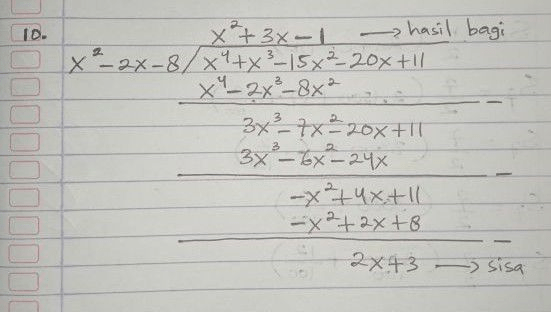
Pertanyaan
Selesaikan pertanyaan tersebut dengan metode horner

2
1
Iklan
Diana Q
12 Agustus 2024 05:31
Ini jawabannya


· 5.0 (1)
Iklan
Tanya ke AiRIS
Yuk, cobain chat dan belajar bareng AiRIS, teman pintarmu!

LATIHAN SOAL GRATIS!
Drill Soal
Latihan soal sesuai topik yang kamu mau untuk persiapan ujian


Perdalam pemahamanmu bersama Master Teacher
di sesi Live Teaching, GRATIS!