Mahtur L
25 Mei 2025 04:44
Iklan
Mahtur L
25 Mei 2025 04:44
Pertanyaan
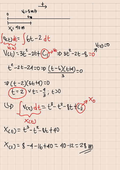
Sebuah partikel bergerak sepanjang sumbu x dengan percepatan yang dapat dituliskan sebagai a = 6t − 2 m/s2 . Mula-mula partikel tersebut berada pada posisi x = 40 m dengan kecepatan awal 8 m/s ke arah x negatif. Ketika partikel tersebut berada pada keadaan diam untuk t > 0, posisi partikel tersebut berada di x = ... m
2
1
Iklan
Efraim S
25 Mei 2025 10:48
Jawabannya 28,0 m ya. Caranya tertera pada gambar.

· 5.0 (2)
Iklan
Tanya ke AiRIS
Yuk, cobain chat dan belajar bareng AiRIS, teman pintarmu!

LATIHAN SOAL GRATIS!
Drill Soal
Latihan soal sesuai topik yang kamu mau untuk persiapan ujian


Perdalam pemahamanmu bersama Master Teacher
di sesi Live Teaching, GRATIS!