R.Aj. A
15 Juni 2025 10:20
Iklan
R.Aj. A
15 Juni 2025 10:20
Pertanyaan
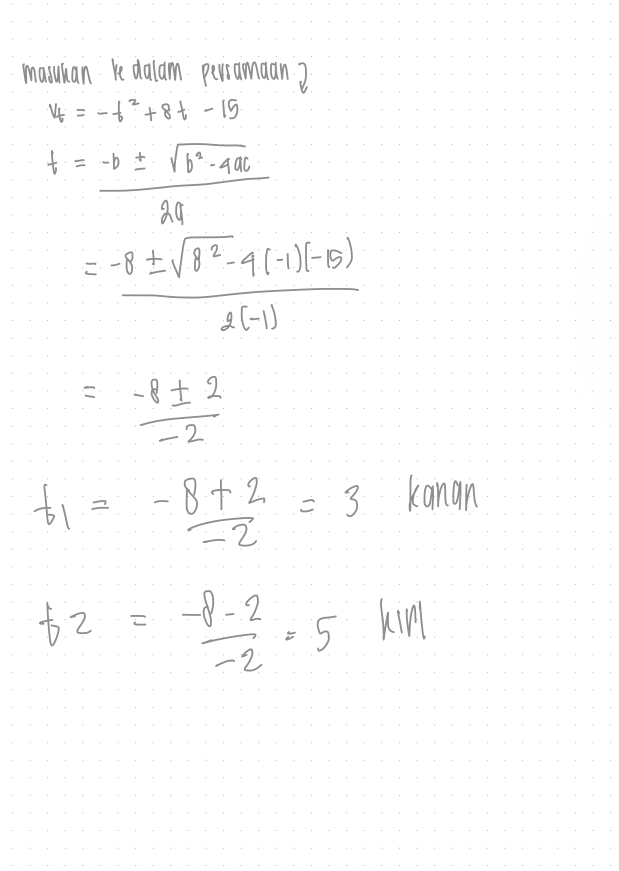
sebuah benda bergerak dengan kecepatan dalam bentuk v= -t²+8t-15 m/s. benda mulai bergerak dari posisi x = 20m posisi benda ketika berbalik arah dari bergerak ke kanan menjadi ke kiri pada t=?
3
2
Iklan
Uswatun H
16 Juni 2025 00:34
Penjelasan: Benda berbalik arah ketika kecepatannya v=0. Maka, kita perlu mencari nilai t ketika v=0:−t2+8t−15=0
Untuk menyelesaikannya, kita bisa mengalikan seluruh persamaan dengan −1 untuk membuat koefisien t2 positif:t2−8t+15=0
Kemudian, faktorkan persamaan kuadrat ini. Kita mencari dua angka yang jika dikalikan hasilnya 15 dan jika dijumlahkan hasilnya -8. Angka-angka tersebut adalah -3 dan -5. (t−3)(t−5)=0
Dari sini, kita mendapatkan dua kemungkinan nilai t: t−3=0⟹t=3 t−5=0⟹t=5
Untuk menentukan kapan benda berbalik arah dari bergerak ke kanan menjadi ke kiri, kita perlu mempertimbangkan tanda kecepatan (v).
Fungsi kecepatan adalah v=−(t−3)(t−5). Mari kita uji beberapa nilai t:
Berdasarkan analisis ini, benda bergerak ke kanan (v>0) antara t=3 dan t=5. Setelah t=5, kecepatan menjadi negatif (v<0), artinya benda bergerak ke kiri. Jadi, benda berbalik arah dari bergerak ke kanan menjadi ke kiri pada saat t=5detik.
Jawaban: Benda berbalik arah dari bergerak ke kanan menjadi ke kiri pada t=5 detik.
· 0.0 (0)
Iklan
Nadya M
24 Juni 2025 10:16
jawaban

· 0.0 (0)
Tanya ke AiRIS
Yuk, cobain chat dan belajar bareng AiRIS, teman pintarmu!

LATIHAN SOAL GRATIS!
Drill Soal
Latihan soal sesuai topik yang kamu mau untuk persiapan ujian


Perdalam pemahamanmu bersama Master Teacher
di sesi Live Teaching, GRATIS!