Lili L
04 November 2025 07:32
Iklan
Lili L
04 November 2025 07:32
Pertanyaan
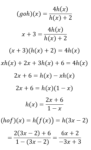
pliss bantu

2
2
Iklan
Muhammad R
04 November 2025 08:58
Mungkin dapat dikoreksi, kok gak ada dipilihannya ya..
CMIIW

· 0.0 (0)
Iklan
Kinad R
04 November 2025 11:34
maaf sepertinya jawaban tidak ada di pilihan

· 0.0 (0)
Tanya ke AiRIS
Yuk, cobain chat dan belajar bareng AiRIS, teman pintarmu!

LATIHAN SOAL GRATIS!
Drill Soal
Latihan soal sesuai topik yang kamu mau untuk persiapan ujian


Perdalam pemahamanmu bersama Master Teacher
di sesi Live Teaching, GRATIS!